16 | 红黑树(上):红黑树基础与插入调整操作
你好,我是胡光。
上节课我们讲了,AVL树能时刻保持平衡,所以它拥有非常优秀的检索性能,但它每一次更新之后都需要调整自己,强调自己的平衡性。因此,我们在维护频繁更新的有序序列的时候,就要付出相应的代价。
在实际的应用中,为了保持排序二叉树的检索性能,我们经常不需要它有那么严格的平衡性,只要保持一种近似的平衡就可以了。这该怎么做呢?我今天就给你讲一种非常常用的近似平衡二叉排序树,红黑树。因为红黑树的内容比较多,我会花两节课的时间去讲。这节课我们先讨论,红黑树的基础和插入调整操作,下节课再讨论删除调整操作。
什么是红黑树?
红黑树在计算机科学中有非常广泛的应用,例如C++ STL中的 set 、 map ,JAVA中的 TreeMap 都是用红黑树来实现的。顾名思义,红黑树就是一种每一个节点都被染上黑色或者红色的二叉排序树。我们会利用每个节点的颜色,来决定红黑树上的一些简单或者复杂的操作。

上图就是一棵红黑树,通常我们在画图的时候会省去空指针叶子,为了方便讲解,我在这里都标出来了。那么,红黑树究竟是怎样保证自己性能的呢?
首先,我们对照着示意图,来记一下红黑树的5个重要性质:
-
每一个节点的颜色不是红色就是黑色的;
-
根节点是黑色的;
-
每一个叶子节点(Nil,最下层节点的空指针孩子)都是黑色的;
-
如果一个节点是红色的,那它的两个孩子都是黑色的;
-
对于每一个节点,从它出发到它的后代叶子节点的所有简单路径上,黑色节点的数量都是相同的。
你会发现,在红黑树的五条性质中,我们对黑色节点的规定比较多,尤其是第5条,从某一个节点出发到后代的黑色节点数量是相同的。那我们就假设,从某一个节点T出发,到叶子节点的一条简单路径上,黑色非叶子节点的数量是black_height(T),我们管它叫子树的阶。如果T的两个孩子都非空,那T节点两个孩子的黑树高就有可能是black_height(T)或者black_height(T)-1,这主要取决于那两个子节点的颜色。
所以,对于有N个节点的两个孩子,以它们为根的子树分别会有至少$2^{black_height(T)-1}$个节点,而以N为根的子树至少会有$2^{black_height(T)-1}\times 2+1=2^{black_height(T)}-1$个节点。
然后根据性质4,每个红色节点的两个孩子一定是黑色的,我们就能得出,从节点N出发到叶子节点的一条简单路径上,一定有至少一半的节点都是黑色的(因为没有限制黑色节点的孩子的数量)。由此,我们就能得到,以N节点为根节点的子树的树高h满足$height(T)\le 2\times black_height(T)$,那以N为根的子树,它的节点数满足:
$$count(T)\ge 2^{black_height(T)}-1=2^{\frac{height(T)}{2}}-1$$
则有:
$$count(N)+1\ge 2^{\frac{height(N)}{2}}$$
两边同时取对数,则有:
$$log_2(count(T)+1)\ge \frac{height(T)}{2}$$
也就是说,一棵有N个节点的红黑树的树高不会超过$2\times log_2(N+1)$,这就保证了红黑树的检索效率仍然是对数级别的。
从前面的推导过程中我们不难看出,红黑树通过性质5保证了红黑树树高的相对平衡性,通过性质4又保证了红黑树的树高不会相差太大。这其中,红色节点起到了调节的作用,能够让红黑树在不那么平衡的情况下,仍保证黑色节点的数量,同时又保证了红色节点不会泛滥,树上的性能不会被破坏。毕竟如果红黑树上没有红色节点,那它就是一棵严格的平衡树了。
可以说正是红黑树这五条性质,保证了红黑树的优秀性能。但也正因为要维持红黑树的这5条性质,红黑树的基础操作就和我们之前讲过的二叉排序树有一定的区别了。那区别都有哪些呢?接下来,我们就来说说红黑树的插入操作。
理解红黑树的插入操作
我们知道,红黑树也是一种二叉排序树,所以向一棵红黑树中插入节点的步骤和二叉排序树是相同的,都是找到正确的位置,并新建节点插入。而我们要重点注意的是,在插入一个节点的时候,在什么情况下,有哪些红黑树的性质会被打破,我们又该怎样把红黑树调整回来。
我们以插入节点z为例。对于这个新的z节点,我们首先要将它初始的颜色设置为红色。因为如果我们将插入节点的初始颜色定义为黑色,就会直接打破性质5(从根节点到叶子节点的每条路径上黑色节点数量是一样的),调整起来也比较麻烦。同时红色节点受到周围节点的限制也比黑色节点要少一些,就算出现了打破的情况,也比较好调整。
在插入了红色节点z之后,我们重新来看红黑树的5条性质,首先,性质1和3是完全不会被打破的。由于z节点的初始颜色是红色,而我们插入的位置一定是一个空指针(黑色),同时z自己也会有两个空指针,它们都是黑色的。所以,在插入z节点之后,z所在的路径上减少了一个黑色的空指针,增加了一个红色的z节点,同时z节点下又会增加一个黑色的空指针,性质5同样会保持下来。
接下来,我们再来看看性质2和性质4。我可以提前告诉你,只有性质2(根节点是黑色的)和性质4(红色节点的儿子都是黑色的)在插入的过程中有可能被打破。
首先我们来看性质2,性质2被打破的唯一一种可能:我们插入的位置就是根节点(实际上就是将z插入到了一棵空树中)。在这种情况下,其实我们直接把z变成黑色节点就可以了。由于z的位置是根节点,那从根出发的每条路径上的黑色节点都会多一个,这也保持了性质5的稳定。
而性质4被打破的情况,就是我们插入的节点z在一个红色节点的下面,而当这种情况发生,z节点的叔叔,也就是其祖父的另一个子节点的颜色就至关重要了。我们可以分三种情况讨论:
-
z节点的叔叔是红色节点
-
z节点是其父亲的左子节点,z节点的叔叔是黑色节点
-
z节点是其父亲的右子节点,z节点的叔叔是黑色节点
当然,这三种情况只考虑了z节点的父亲是其祖父左子节点的情况,因为其他情况都是对称情况,只要你掌握了这三种情况,对称情况自然就可以掌握了。
那为什么要分三种情况讨论呢?在二叉排序树的旋转操作中,我们讲过,当二叉排序树旋转的时候,被转到根的那个节点的某一棵子树会被原来的根节点重新继承。在红黑树中也是一样,如果发生了右旋,则原左子节点的右子树就会被原根节点继承,右子树中的黑色节点会被根节点继承。如果原根节点也是一个黑色的节点,那么旋转后的子树,右边的黑色节点数就会发生变化,这种变化和性质5息息相关,所以在旋转的时候,我们要小心考虑这种情况。因此,z节点的叔叔是黑色节点的时候,我们要分为两种情况讨论。

明白了这一点,接下来,我再来详细说说,当面对这三种情况的时候,我们具体该怎么操作。
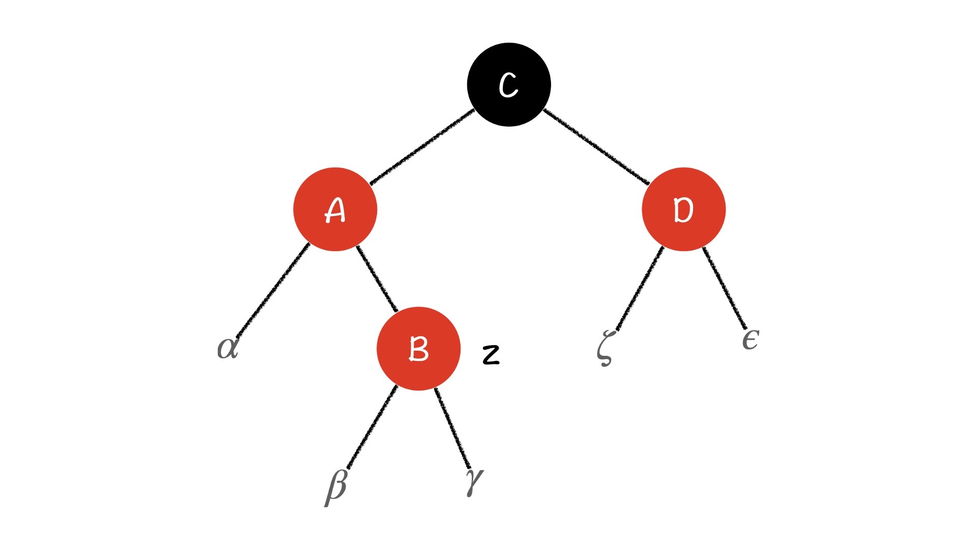
Case 1:z节点的叔叔是红色节点

如果我们是把节点z插入到一棵符合性质的红黑树中,那z的祖父C节点就一定是黑色的节点,否则原来的树就不符合性质4了。同时,图上的这几棵子树$\alpha、\beta、\gamma、\zeta、\epsilon$的阶(black_height)也都是相等的。
注意,这棵子树和其他子树还要共同在整棵树上保持性质5,所以每条路径上黑节点的数量不能发生变化,那我们为了保持性质5,也为了修复性质4,就需要在每一条路径上去掉一个红色节点,增加一个黑色节点。因此,处理方法就很简单了,把z节点的父亲和叔叔,也就是A节点和D节点变成黑色,这样z的祖父C节点就变成红色了。

但要注意的是,我们调整了这个子树之后,因为更改了C节点的颜色,很有可能会影响上面子树的性质(例如原本C节点的父亲是红节点),所以这棵子树调整过之后,事情还没有结束,我们应该再从C节点出发,向上调整。而由于树结构的递推性质,子树符合红黑树的性质,那它的祖先也一定会符合红黑树的性质,因此我们也只需逐级向上调整,将整条路径调整到完全符合性质即可,无需担心会牵一发而动全身。
Case 2:z节点是其父亲的左子节点,z节点的叔叔是黑色节点

当z节点的叔叔D是黑色节点的时候,显然Case1中以一换一,只通过染色来解决问题就行不通了。如果我们还是将A节点染黑,则这条路径上多了一个黑色节点,打破性质5。如果同时将C节点染红,虽然可以保持左路径上黑色节点数量不变,但右路径又少了一个黑色节点,这仍旧会打破性质5。那我们该怎么办呢?
别着急,我们还有一个法宝没有用,那就是树的旋转。
我们注意到,在这棵树中,$\alpha$、$\beta$、$\gamma$和$\zeta$四棵子树的阶是相等的,并且它们都利用了黑色的根节点C,但$\beta$和$\gamma$上面有两个红色的节点。这就意味着,无论我们怎么染色,左右两边路径的黑色节点数都没办法相等。但是,我们可以通过旋转操作,将黑色的节点集中到一边,在一条路径里进行以一换一的操作。
没错,就是直接针对C节点进行一次右旋,这样A节点(红)就成了子树的根节点,C节点成为了右子节点。这个时候,右边路径的黑色节点数刚好多出来了一个黑色节点(C)。你会发现,如果我们将C节点换成红色节点的话,那C也是红的、B也是红的,这会打破性质4,同时,整棵子树所有路径上都会少一个黑色节点,这又打破了整棵树的性质5。
因为它们共同的父亲是根节点A(红),所以我们把A节点换成黑色节点,就能满足性质4,同时由于根节点是黑色的,所有的路径上又加回来了一个黑色节点,这又重新满足了性质5。

Case 3:z节点是其父亲的右子节点,z节点的叔叔是黑色节点

这种情况就更复杂一些了。解决它最直观想法,就是直接对树进行右旋。
右旋之后,z节点就直接成为C节点的左子节点,$\beta$子树和$\gamma$子树的上面将会有B、C两个节点,而根节点A的左边只剩下了$\alpha$子树。也就是说,无论我们怎么调整A、B、C这三个节点的颜色,最终子树都会打破性质5。

还记得上一节课我们讲AVL树插入的时候提到的情况2吗?其实Case 3和那种情况是类似的,为了防止右旋的时候将左子树的右子树的树高整块继承下来,我们必须要先缩减左子树和右子树的树高。具体来说,我们要先在A节点上进行左旋,把B旋转成C的左儿子,然后,你发现了吗,现在的情况和Case 2就一样了,我们再进行一次右旋,将B的颜色染成黑色,C的颜色染成红色,问题就解决了。

以上就是红黑树的插入操作,你理解了吗?理解起来确实不容易,记得结合示意图多看几遍。
总的来说,红黑树在插入元素调整的时候,至多会向上调整一条路径,也就是整体的树高,所以红黑树的插入操作,索引及调整都是$O(log_2N)$的。而且多数情况下,我们可能不需要调整那么多步,就可以保持红黑树的性质了。从这点上来看,红黑树的调整频率是低于AVL树的,所以红黑树也常常用来维护动态序列。
课程小结
这节课,我带你认识了红黑树。
我们先学习了红黑树的基础知识,红黑树具有5个非常重要的性质。分别是,红黑树中每一个节点的颜色不是红色就是黑色;红黑树的根节点都是黑色的;而且它的每一个叶子节点都是黑色的;如果一个节点是红色的,那它的两个孩子都是黑色的;对于每一个节点,从它出发到它的后代叶子节点的所有简单路径上,黑色节点的数量都是相同的。这5个性质保证了红黑树的优秀性能。
然后,我们一起讨论了红黑树插入元素之后的调整操作。因为向红黑树插入元素,只有性质2和性质4有可能被打破。所以我们要分三种情况分别讨论。既然有插入操作,肯定也有删除操作。相对于插入,删除操作就更复杂了,需要讨论的情况也更多,我会在下节课和你详细讨论。
课后练习
如果在插入节点的时候,我们将节点初始化成为黑色节点,会发生什么?
欢迎在留言区分享你的答案,也希望你能把这节课的内容转发出去。那今天就到这里了,我是胡光,我们下节课见!